Мы уже рассказали о шести из семи задач тысячелетия — математических проблемах, за решение каждой из которых Математический институт Клэя выплачивает миллион долларов США. Осталась последняя проблема, теория Янга — Миллса, она относится к физике элементарных частиц, подразделу квантовой физики.
Эта статья — одна из самых сложных в Коде, потому что мы будем говорить о самом устройстве нашего мироздания. Мы постарались максимально упростить всю теорию, но даже с такими упрощениями она может показаться безумием. Может показаться, что всё это — про физику, но программисты тут тоже участвуют: разрабатывают модели, которые позволяют проверить (хотя бы в теории) то, что придумали математики. Кто решит эту седьмую и самую важную фундаментальную проблему, получит миллион долларов, а программист, который всё это сможет смоделировать на компьютере, — всемирный респект и славу.
Если хотите почитать что-то более практичное и про программирование, то вот как сделать самому два тетриса на выбор:
Квантовое взаимодействие
Квантовая физика — общий раздел, в котором изучается взаимодействие элементов на микроскопическом уровне. А физика элементарных частиц изучает элементы наименьших размеров, которые уже нельзя разделить.
В нашем мире всё состоит из молекул, молекулы состоят из атомов, а атомы состоят из ядра и электронов. Ядро атома тоже делится на составляющие — протоны и нейтроны. И если квантовая физика охватывает всё это, то физика элементарных частиц копает ещё глубже: до кварков — это то, из чего состоят протоны и нейтроны.
Прежде чем мы начнём, давайте определимся с ключевым термином статьи — взаимодействием.
Взаимодействие — процесс обмена двух объектов третьими частицами. Такие частицы называют переносчиками взаимодействия
Есть 4 вида взаимодействий, существование которых уже доказано:
- гравитационное;
- электромагнитное;
- сильное ядерное;
- слабое ядерное.
Теория Янга — Миллса относится к последним трём, но мы разберём все для лучшего понимания.
Гравитационное взаимодействие
Вот закон всемирного тяготения Ньютона:
Гравитационное притяжение между двумя материальными объектами, разделёнными расстоянием, пропорционально обеим массам и обратно пропорционально квадрату расстояния.
Если упростить, то два тела притягиваются друг к другу с одинаковой силой, которая зависит от массы обоих:

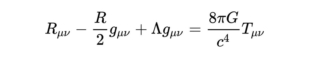
Но у такой модели есть ряд недостатков, которые физики пытались решить 200 лет. Например, она не объясняет, как именно гравитация передаётся через совершенно пустое пространство, причём бесконечно быстро. В 1915 году Альберт Эйнштейн предложил более продвинутую версию гравитационного взаимодействия, которые решила все недостатки версии Ньютона. Общая теория относительности — это как раз она.
Для описания гравитации Эйнштейн вывел уравнение гравитационного поля, оно же лежит в основе теории относительности. Уравнение сложнее, чем закон Ньютона. Разбираться в нём сейчас не будем, просто посмотрите:

Новая модель объяснила гравитацию как искривление пространства и времени:
Гравитационное взаимодействие происходит не от взаимодействия двух тел, а от искривления пространства вокруг каждого — и на это искривление влияют масса и энергия тела.
В неискривлённом пространстве тела движутся по прямой, а в искривлённом — по кривым:

Теория Эйнштейна хорошо подтверждается в масштабах звёздных систем, но на совсем больших и малых расстояниях, например между галактиками или между атомами, уже работает плохо. Пока запомним эту мысль и пойдём дальше.
Электромагнитное взаимодействие
Из всех четырёх видов взаимодействий это изучено лучше всех. Когда говорят про электричество, часто упоминают слова «заряд» и «импульс». Вот что это значит:
- заряд — то, насколько активно излучаются и поглощаются частицы;
- импульс — качество движущегося объекта, которое считается как произведение массы на скорость
p = mv, при этом учитывается направление движения
Сначала у физиков была классическая теория электромагнитного поля, в которой рассматривался только обмен частицами с разными электрическими зарядами — например, протонами и электронами. Частицы с одинаковыми зарядами отталкиваются, с разными — притягиваются.
Сегодня физики используют квантовую теорию взаимодействия, в которой положительно и отрицательно заряженные частицы взаимодействуют между собой не напрямую, а через кванты электромагнитного поля — фотоны. Фотоны не имеют собственного заряда и массы.

Получается такое определение:
Электромагнитное взаимодействие — это обмен фотонами между двумя частицами.
Здесь начинается интересное, потому что известная формула Эйнштейна для подсчёта энергии E = mc2 говорит, что энергия — это масса, умноженная на скорость света в квадрате. Но у фотона нет массы, и непонятно, как вообще он может влиять на энергию, — его собственная энергия и импульс должны быть равны нулю, потому что в обеих формулах есть умножение на массу.
Поэтому формула E = mc2 относится только к неподвижным телам и тем, которые движутся без ускорения. Такие объекты не излучают фотоны, но обладают статическим электрическим зарядом.
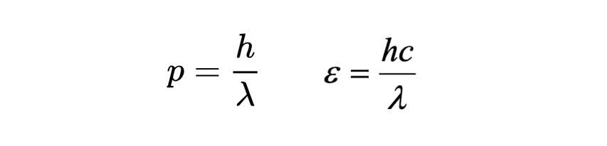
Для подсчёта энергии и импульса фотона используются формулы Планка:

Вот что означают эти символы:
- p — импульс фотона;
- λ — длина волны света;
- h — постоянная Планка, неизменяемая величина;
- ε — энергия фотона.
Поток фотонов называется электромагнитной волной.
Сильное ядерное взаимодействие
Сильное ядерное взаимодействие сильнее электромагнитного в 100 раз. Это самое сильное из четырёх фундаментальных — и наименее изученное.
О его существовании физики догадались в начале XX века, когда стало ясно, что ядро атома состоит из протонов и нейтронов — или только из протонов. У протонов одинаковый заряд, значит, они должны друг от друга отталкиваться. А раз этого не происходит, значит, есть какая-то сила, которая сильнее электромагнитной и держит протоны вместе. Эту силу назвали сильным ядерным взаимодействием.

Сначала выяснили, что протоны состоят из более малых частиц. Их назвали кварки:

Вспомним электромагнитное взаимодействие: там только один вид заряда, который может быть положительным или отрицательным. В сильном ядерном взаимодействии есть три вида кварков — и каждый из них может обладать положительным и отрицательным зарядом. Чтобы стало хоть немного проще, физики разделили три вида кварков по цветам: красный, зелёный и синий.
- Протон состоит из двух положительно заряженных кварков и одного отрицательного.
- Нейтрон состоит из одного положительно заряженного кварка и двух отрицательных.

Раз есть взаимодействие, то есть частица-переносчик, с помощью которой это взаимодействие происходит. В 1935 году японский физик Хидеки Юкава описал такую частицу и назвал её мезоном. В 1947 году мезон нашли, а Юкава получил Нобелевскую премию.
Но оказалось, что мезон тоже составная частица: в его состав входят два разных кварка. А притяжение между протонами — это следствие более мощного взаимодействия между самими кварками. Неделимая частица — переносчик этого процесса называется глюон.
Это и есть финальное определение:
Сильное ядерное взаимодействие — процесс обмена глюонами между кварками.

Глюон — частица без массы, которая как бы отцепляется от одного кварка, присоединяется ко второму и меняет его заряд. Чтобы состоящий из кварков элемент не распался, его общий заряд должен быть нулевым. Для этого есть два варианта:
- три разноцветных кварка — барион;
- два противоположных кварка — мезон.
Теперь самое сложное — как всё это, включая глюоны, взаимодействует между собой:
- первый кварк выделяет глюон;
- второй кварк собирается поглотить этот глюон;
- оба кварка сразу же начинают взаимодействовать с этим глюоном;
- от этого взаимодействия появляются всё новые и новые глюоны;
- все эти частицы взаимодействуют между собой.
Из-за этого взаимодействующие кварки всегда окружены глюонным облаком, поэтому вырвать один кварк из целого элемента невозможно.
Уравнения сильного ядерного взаимодействия настолько сложны, что решить их с конкретными результатами невозможно в принципе. Так выглядит общее уравнение процесса:

Если уравнения нельзя точно решить, нельзя и проверить, верно ли придумано описание. Пока что можно получать только примерные решения в отдельных случаях.
Слабое ядерное взаимодействие.
Слабее сильного ядерного и электромагнитного взаимодействия, но сильнее гравитационного. Действует на очень малом расстоянии, примерно 10-18м.
Формально слабое ядерное взаимодействие нельзя назвать силой, потому что в результате у частицы изменяется не скорость, а сама природа: одна частица превращается в другую.
Давайте ещё раз вспомним, что протоны и нейтроны состоят из кварков. В каждом их по 3, и у всех заряд разного цвета. Теперь надо добавить, что кроме зарядов-цветов у каждого кварка есть ещё одна характеристика — аромат. Это просто название, с реальным запахом ничего общего не имеет — физики так развлекаются, чтобы было не так скучно работать :-)
Всего ароматов у кварка может быть 6:
- верхний, или up, — обозначается буквой U, имеет положительный заряд;
- нижний, или down, — обозначается буквой D, имеет отрицательный заряд;
- странный, или strange, — обозначается буквой S;
- очарованный, или charm, — обозначается буквой C;
- высокий (истинный), или top (true), — обозначается буквой T;
- низкий (прелестный), или bottom (beauty), — обозначается буквой B.
Протон состоит из двух U-кварков и одного D-кварка, а нейтрон — из двух D-кварков и одного U-кварка.

Классический пример слабого ядерного взаимодействия — превращение протона в нейтрон или наоборот. Этот процесс называется «радиоактивный бета-распад атомных ядер».

Частица-переносчик для слабого ядерного взаимодействия называется бозон — но не Хиггса, а бозон W или Z.
Есть три варианта бета-распада:
- Если нейтрон превращается в протон, то один из D-кварков выделяет отрицательно заряженный W-бозон и становится U-кварком.
- В обратном случае, когда протон превращается в нейтрон, U-кварк выделяет положительно заряженный W-бозон и становится D-кварком.
- Есть ещё один вариант превращения протона в нейтрон, который называется электронным захватом, но сейчас рассматривать его не будем.
Описать бета-распад не получилось с помощью существующих частиц, потому что не соблюдался закон сохранения энергии. В 1930 году учёный Вольфганг Паули предположил, что в процессе участвует что-то ещё, и назвал пока ещё неоткрытую частицу нейтрино. В 1956 году её существование доказали официально.
Z-бозон тоже участвует в слабом ядерном взаимодействии, но не имеет собственного заряда — поэтому не может превращать один кварк в другой и участвует только в процессах с электронами и нейтрино.
Теория Янга — Миллса на миллион (НАКОНЕЦ-ТО!)
Чжэньнин Янг и Роберт Миллс написали уравнения, которые объединили три из четырёх взаимодействий — все, кроме гравитационного. Чтобы их показать и объяснить, из чего они состоят, понадобится отдельная статья, поэтому если есть желание погрузиться на пару недель в мир уравнений, можно начать с Википедии или с замечаний о расходимостях и размерной трансмутации в теории Янга — Миллса.
На основе идеи Янга и Миллса построена стандартная модель физики элементарных частиц, которая описывает все неделимые частицы, о которых мы успели столько поговорить: кварки, фотоны, электроны, нейтрино, бозоны — и знаменитый бозон Хиггса.
Сейчас математически удалось доказать, что уравнения Янга — Миллса могут объединить электромагнитное и слабое взаимодействия. К сильному взаимодействию уравнения тоже подходят, но по отдельности. А чтобы получить миллион долларов, нужно объединить все три в одно решение.
Собственно, это и есть седьмая математическая проблема мира — как эти уравнения объединить в единое целое, чтобы оно описывало все взаимодействия сразу.
Что ещё
На этом с задачами Математического института Клэя всё. Но нерешённого ещё много, например задачи Гильберта, Ландау и Смейла.
Есть и другие решённые задачи, про которые можно рассказать. В математике вообще много интересного, даже если она немножко физика.


